Student Theses

The City Energy Analyst (CEA) is built as an R&D project. We scout new research paradigms and use the CEA as a framework to account for complex interactions taking place between the city, its underlying energy infrastructure, and the environment.

To this end, we welcome students using CEA to solve a new research problem. If you are interested in joining us for a period of up to 6 months and using the CEA as part of your research. Please check the current list of research topics of our interest, or alternatively send us your ideas for a potential stay. We remain completely open to new ideas!

Master Theses:

  • Form follows energy: Energy driven urban design in the tropical climate, case study - Punggol Digital District, Singapore CLOSED!

  • Neural network model for building electricity consumption forecasting in dense tropical areas CLOSED!

  • Heuristics for the design of low-carbon districts in the tropics CLOSED!

  • Latent heat modeling in district energy systems CLOSED!

  • Life cycle assessment of multi-scale energy systems CLOSED!

  • Sensitivity Analysis of Solar Irradiance in Urban Areas. CLOSED!


Form follows energy: Energy driven urban design in the tropical climate, case study - Punggol Digital District, Singapore

Ekaterina Vititneva

M.Arch., Bauhaus-Universität Weimar, Germany

Publications:

Ekaterina Vititneva, Zhongming Shi, Pieter Herthogs, Reinhard Koenig, Aurel von Richthofen, Sven Schneider (2021) Integrating energy and wind performance reasoning in urban form type design for an educational district in Singapore, XXVIII International Seminar on Urban Form, Glasgow, United Kingdom

Ekaterina Vititneva, Zhongming Shi, Pieter Herthogs, Reinhard Koenig, Aurel von Richthofen, Sven Schneider (2021) Informing the design of courtyard street blocks using solar energy models: a case study of a university campus in Singapore, CISBAT 2021, Lausanne, Swizterland


Neural network model for building electricity consumption forecasting in dense tropical areas

Jose Antonio Bello Acosta

MSc, Universidad de Bogotá Jorge Tadeo Lozano, Colombia

 
 

Heuristics for the design of low-carbon districts in the tropics

Anastasiya Bosova

Master in Integrated Energy Systems, ETH Zurich

 

Latent heat modeling in district energy systems

In hot and humid tropical climates latent cooling loads are responsible for a significant share of building energy demand. In order to assess the performance of different HVAC systems at the district scale, an accurate forecasting of latent loads in buildings is necessary. The goal of this thesis is to build a model for moisture transfer in buildings, which is similar to the existing Resistance-Capacitance (RC) model for heat transfer (ISO 13790-2008) used for space sensible heating and cooling load calculation. However, in hot and humid climate, accurate description of moisture transfer by transmission is crucial for latent cooling load calculation. Therefore, an accurate dynamic moisture transfer model in buildings is the foundation to study cooling energy supply systems in the hot and humid climates. This thesis work involves: - Researching on existing models and standard calculation procedures of moisture transfer and storage in buildings. - Coding a suitable model accounting for moisture transfer through transmission, ventilation and internal gains in buildings. - Calibrating the model with real-time measured data from an office building in Singapore. The by-product of such analysis will be a new library for the CEA. Requirements • Knowledge of building physics and building energy performance modeling and simulation • Coding skills (in Python) are a plus. Willingness to learn these tools is expected. This Master thesis can be developed in Singapore or Zurich.


Life Cycle Assessment of Multi-scale Energy Systems

Bo lie Ong
Msc. Energy systems - TU Berlin

For the multi-objective optimization of district energy supply systems and the evaluation of building retrofit strategies, data on economic and ecological impacts of the diverse options are a crucial input. This data is usually context-specific. For the European context life cycle assessment (LCA) data, such as embodied primary energy and embodied green house gas emissions for typical building constructions, and emissions and primary energy of a range of energy conversion systems are implemented. The same data has to be researched and implemented for the Singapore context. The tasks include a literature study about available life cycle data and data sources for the Singapore or (South East) Asian context. If need be, missing processes have to be modeled in an LCA tool. Requirements • Knowledge of LCA and respective tools is desired • Knowledge of Energy Systems modeling is useful, but not necessary • Coding skills (in Python) are a plus. Willingness to learn these tools is expected. This Master thesis can be developed in Singapore or Zurich. A minimum stay of 3 months in Singapore will be necessary. We are looking for motivated students to support our research. Please send a copy of previous project work (BSc, etc.) with your application.


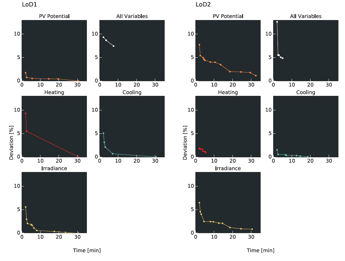
Sensitivity Analysis of Solar Irradiance in Urban Areas

Paul Neitzel
Msc. Integrated Building Systems - ETH Zurich

Solar irradiance is a parameter that influences the demand and supply options of energy in urban areas.  It highly affects the needs for heating, cooling, and solar generation capabilities of buildings. Solar irradiance simulation models need to go under a calibration process in order to produce reliable predictions. A first step of this calibration process is to get knowledge on first and secondary effects of input parameters into forecasts of energy demand and generation.

This research analyzed the effect of input parameters of solar irradiance calculation on the energy demand and photovoltaic (PV) potential of urban areas. Furthermore, this research introduced an advanced radiation model for the City Energy Analyst based on DAYSIM software.